Rhétorique des médias interactifs

traitement des données

Organiser les données

Le passage du flux des données, captées ou perçues du réel puis encodées, aux informations se fait graduellement, par des traitements consécutifs ou concurrents qui on pour but d’organiser les données.

Ces traitements visent

1) à faire émerger, à partir de traitements du flux de données, des saillances, des régularités, des tendances ou encore des écarts par rapport à des attentes ou des modèles

2) à filtrer les données redondantes ou non pertinentes pour mettre en valeur des phénomène originaux

Ces traitements consistent aussi à ajouter des indications aux données qui deviennent des « métadonnées » c’est-à-dire des données sur la nature de données qui fournissent des indications quant à la structuration ou l’utilisation des données contiguës.

Dans certains cas, les données seront rejetées et seules les métadonnées conservées.

Les traitements des données sont les suivants :

Structuration des données

La structuration de données a pour but de produire d’introduire des principes d’ordre dans les données, à en discriminer la diversité principalement en opérant des regroupements en fonction de catégories.

Le terme catégorie est utilisé en lien avec la démarche aristotélicienne qui propose pour appréhender la diversité du monde de cerner la substance des êtres et des choses par leurs accidents  : la quantité, la qualité, la relation, le lieu, le temps, la position, la disposition (habitus traduit habituellement par « possession »), l’action, la passion.

La structuration implique deux opérations : le découpage du flux des données et l’identification des types.

Le découpage implique la notion de granularité, c’est-à-dire de l’ampleur des segments résultant du découpage.

Les données sont toujours structurées en vue d’un projet donné, les régularités et les différences sont appréciées en fonction des objectifs et contraintes des traitements anticipés.

Structuration en tableau

Les tableaux sont constitués d'un regroupement de données homogènes (ayant le même type).

Les données individuelles sont repérées par un sélecteur de type numérique ou que l'on nomme « indice » ou parfois improprement « index » du tableau, ou du type symbolique que l’on nomme « clé ».

Le rôle du tableau est de conserver pour chaque valeur d'indice une valeur associée.

Le tableau n’établit pas de relation entre les différentes données qu’il renferme sinon que d’appartenir au même regroupement de façon indistincte les unes par rapport aux autres.

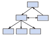
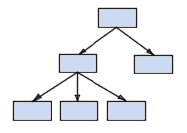
Structuration hiérarchique

Il s’agit de structures homogènes dont chaque élément, appelé « nœud », renvoie à une donnée et plusieurs liens (pointeurs) appelés « arcs » vers des éléments du même type.

Le niveau d'un noeud est le nombre d'arcs qu'il faut parcourir pour arriver à ce noeud. La racine est de niveau 1. La profondeur d'un arbre (ou hauteur) est le nombre maximum d'arcs qu'il faut parcourir pour aller de la racine à une feuille. Les noeuds terminaux (qui n'ont pas de descendants) sont appelés feuilles. Les noeuds non-terminaux sont appelés noeuds intérieurs.

Structuration relationnelle

Les réseaux sont des graphes orientés et pondérés, c'est-à-dire que chaque arc, en plus d'un sens, possède une valeur associée qui représente la "capacité" de liaison de l'arc.

 

dernière mise à jour :

aller